场效应晶体管及其放大电路
INFO
8. 场效应晶体管及其放大电路(建议8学时)
8.1 场效应晶体管基础
8.1.1 场效应晶体管的结构、工作原理及其电路符号
8.1.2 场效应晶体管的电路特性(输出特性和转移特性)
8.1.3 中频等效电路模型
8.2 场效应晶体管放大电路的构成及其分析
8.2.1 直流偏置电路及其分析
8.2.2 三种接法放大电路的分析计算
8.2.3 多级放大电路的分析计算
TIP
- 平方模型:
- 小信号模型:
- 小信号模型的近似前提:
- MOSFET工作于饱和区,则:
- 对于nmos,
最低不得低于 - 对于pmos,
最高不得高于
- 对于nmos,
习题及参考解答
知识点1:场效应管的结构与工作原理
CH08-KP1-01: 某场效应管的转移特性如下图所示,该管为 ________ 。
A. P沟道增强型MOS管
B. P沟道结型场效应管
C. N沟道增强型MOS管
D. N沟道耗尽型MOS管
D
CH08-KP1-02: 当场效应管的栅源电压为零时,漏源之间存在导电沟道的称为 ________ 型场效应管;漏源之间不存在导电沟道的称为 ________ 型场效应管。
耗尽 增强
CH08-KP1-03: 如下图所示场效应管的转移特性曲线,它属于 ________ 场效应管。

A. N沟道耗尽型
B. N沟道增强型
C. P沟道耗尽型
D. P沟道增强型
B
CH08-KP1-04: 增强型 n-MOSFET 的阈值电压
CH08-KP1-05: MOSFET 发生沟道夹断时,其工作在 ________ 。
A. 饱和区
B. 线性区
C. 截止区
D. 可变电阻区
A
CH08-KP1-06: MOSFET 本质上可以看作 ________ 。
A. 电压控制电流源
B. 电流控制电压源
C. 电压控制电压源
D. 电流控制电流源
A
CH08-KP1-07: 增强型 n-MOSFET 的阈值电压
A. >,<,<,>
B. <,>,<,>
C. >,<,>,<
D. <,>,>,<
A
5、场效应管又称为单极型晶体管,因为 ________ 。
只有一种载流子参与导电过程
6、单极型半导体器件是 ________ 。
A. 二极管 B. 三极管 C. 场效应管 D. 稳压管
C
7、在饱和区,场效应管的漏极电流仅仅取决于 ________ (少数/多数)载流子运动产生的。
多数
知识点2:场效应管的工作特性及其等效模型
CH08-KP2-01: 电路如下图所示,N沟道增强型MOSFET的特性如下:

当
时, 所以
工作在非饱和区
当
时,工作在饱和区
CH08-KP2-02: 一个NMOS管工作在饱和区,其漏极电压不得低于 ________ 。
A. 栅极电压
B. 源极电压
C. 栅极电压+
D. 栅极电压-
D
CH08-KP2-03: 不考虑管子的频率响应,求下列2个典型电路沿箭头方向的小信号等效电阻。

(a)
(d)
CH08-KP2-04: 场效应管作为放大管使用时,应使其工作在其输出特性的 ________ 区 ,在该区域,场效应管的漏极电流主要取决于场效应管 ________ 之间的电压。
饱和区 栅极和源极
知识点3:MOSFET放大电路的分析计算
CH08-KP3-01: 如下图所示 MOSFET 放大电路,已知 T1 和 T2 管的参数分别为

CH08-KP3-02: 在下图所示的 NMOS 电路中,管子参数为阈值电压

0.5
CH08-KP3-03: 如下图所示电路,已知耗尽型 NMOS 管的

等效电路如下:
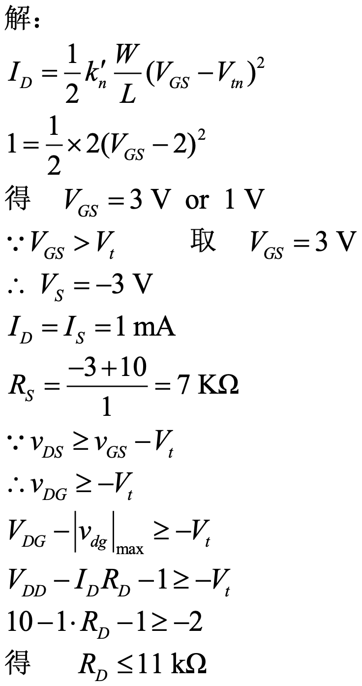
CH08-KP3-04: 如图所示电路,已知 MOSFET 的参数为

34.4 kΩ
CH08-KP3-05: 由 FET 组成的两个基本放大电路如图 (a)、(b) 所示,已知各 FET 的

(a)
(b)
CH08-KP3-06: 如下图所示电路,已知两个 NMOS 管的跨导均为

CH08-KP3-07: 源极跟随器的 ________ 增益接近等于1,是采用 ________ 接法的放大器。
电压,共漏
source follower 是电压跟随,common drain
CH08-KP3-08: 下图是由一个增强型NMOS管组成的放大电路,已知


